Diabete: la tirosina a livelli elevati ne aumenta il rischio

0
L_Tyrosine

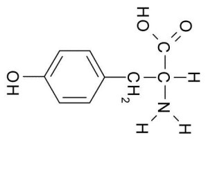
Elevati livelli di un amminoacido, la tirosina, alterano lo sviluppo e la longevita’ in modelli animali e potrebbero contribuire allo sviluppo del diabete nelle persone.

A rivelarlo, nuove ricerche dell’Universita’ del Texas di San Antonio. Lo studio, pubblicato sulla rivista PloS Genetics, potrebbe potenzialmente portare a un nuovo modo per prevenire o curare questa malattia. In base alla ricerca, la tirosina aumentava nel sangue delle persone obese o diabetiche: in particolare, tra le persone obese, quella a piu’ alto rischio di sviluppare diabete tendevano ad avere livelli piu’ elevati di tirosina. L_Tyrosine”Non si sapeva – ha spiegato Alfred Fisher, fra gli autori della ricerca – se questo fosse un marcatore del rischio diabete o se potesse giocare un ruolo diretto nella malattia. Abbiamo scoperto che la tirosina ha un effetto diretto”. Gli scienziati hanno studiato l’effetto della tirosina sulla segnalazione dell’insulina in un modello animale di C. elegans sin dal 2005.

What do you feel about this?

Rispondi